Identidad, tiempo y cambio: disolviendo el problema de la identidad diacrónica

Identity, Time and Change: the Problem of Diachronic Identity

Cristian López *
Universidad de Buenos Aires, Argentina

Identidad, tiempo y cambio: disolviendo el problema de la identidad diacrónica

Revista Colombiana de Filosofía de la Ciencia, vol. 19, núm. 38, pp. 119-159, 2019

Universidad El Bosque

Recepción: 18 Febrero 2019

Aprobación: 27 Junio 2019

Resumen: El objetivo de este trabajo es doble. En primer lugar, argumentaré que el problema de la identidad diacrónica es un problema subsidiario de asumir, por un lado, una posición ontológica en particular respecto de la constitución de los objetos físicos, el tridimensionalismo, y por el otro, y estrechamente relacionado, de asumir el presentismo como metafísica del tiempo. Mostraré que, asumiendo una ontología tetradimensional y el eternalismo, el problema naturalmente se disuelve. En segundo lugar, mostraré que tenemos sólidos motivos empíricos para favorecer el tetradimensionalismo a la luz de la física contemporánea, en particular, de la teoría especial de la relatividad.

Palabras clave: identidad diacrónica, relatividad especial, tetradimensionalismo, tridimensionalismo, tiempo.

Abstract: The aim of this paper is two-fold. For one thing, I shall argue that the problem of the diachronic identity is a subsidiary problem stemmed from commitments to three-dimensionalism, according to which physical objects only have spatial parts, and to presentism, a metaphysical thesis about time. As I shall show, the problem is naturally dissolved by assuming the existence of temporal parts, as four-dimensional assess, and the eternalism. Secondly, I shall point out that we have sound empirical reasons to support four-dimensionalism in the light of current physics, in particular, as we focus on special relativity.

Keywords: diachronic identity, four-dimensionalism, three-dimensionalism, special relativity, time.

1. INTRODUCTION

El concepto de identidad es, probablemente, uno de los conceptos tradicionales más relevantes de la filosofía occidental. En sí mismo, el concepto no solo es de difícil elucidación, sino que además involucra una serie de conceptos y problemas que, si bien estrechamente relacionados, pueden y deben ser distinguidos (como ser los conceptos de identidad sincrónica, identidad relativa, identidad personal, identidad lógica o matemática, etc.). En la bibliografía filosófica el concepto de identidad diacrónica ha recibido particular atención: intuitivamente, asumimos que los objetos preservan su identidad a través del tiempo, en particular, a través de sus cambios en el tiempo; creemos que cada mañana al despertar somos la misma persona que anoche se acostó sobre la misma cama; que el perro que duerme a nuestros pies es idéntico al que sacamos a pasear la noche anterior, e idéntico al que estaba enfermo un mes atrás. Aunque la noción de identidad diacrónica parece hilar nuestras intuiciones cotidianas más elementales, su justificación y elucidación filosófica no resulta sencilla en absoluto: ¿sobre qué “anclar” la identidad de un objeto que cambia a través del tiempo? ¿Hay algo más allá de los cambios que nos asegure que lidiamos con el mismo objeto y no, por el contrario, con un objeto completamente distinto?

De manera aproximativa, el problema de la identidad diacrónica puede expresarse en estos términos: por un lado, si un objeto determinado realmente cambia, no podría ser el mismo objeto luego del cambio. Pero, por otro lado, si el mismo objeto no persiste luego del cambio, entonces no hay un sentido en el cual pueda decirse que el objeto cambió. Ambos enunciados parecen ser intuitivamente verdaderos y, sin embargo, parecen encerrar una incómoda paradoja. Identidad y cambio parecen ser dos conceptos difíciles de reconciliar bajo un enfoque común, a pesar de estar a la base del entendimiento de nuestra experiencia cotidiana.

Muchas veces, aquellos conceptos más profundamente enraizados en nuestras intuiciones son los que resultan más difíciles de elucidar, en tanto involucran una serie de presupuestos que pasan inadvertidos. En este artículo abordaré el problema de la identidad diacrónica a partir de uno de estos supuestos, a saber, que los objetos físicos solo tienen partes espaciales y están multilocalizados en el tiempo. Este enfoque conducirá a plantear el problema en términos de la discusión entre tridimensionalismo y tetradimensionalismo. Los objetivos de este artículo son principalmente dos, estrechamente vinculados. En primer lugar, analizaré la relación (no siempre puesta de manifiesto) que existe entre el problema de la identidad diacrónica con nuestras consideraciones filosóficas respecto de la constitución de los objetos físicos. En esta línea, argumentaré que el problema de la identidad diacrónica presupone, fundamentalmente, una ontología tridimensionalista; en particular, argumentaré que el problema surge, cobra sentido y relevancia filosófica si se considera que los objetos físicos tienen partes espaciales pero que no tienen partes temporales. Este supuesto ontológico fundamental para el problema de la identidad diacrónica, a su vez y como ha sido sugerido y argumentado en el debate filosófico, involucra dos posiciones filosóficas respecto de la naturaleza del tiempo: por un lado, que solo el momento presente, el “ahora”, tiene verdadera existencia (tesis generalmente asociada al presentismo); y que el espacio y el tiempo no son análogos, que el tiempo posee un carácter “especial” que el espacio no posee. Por lo tanto, en esta primera parte, concluiré que el problema de la identidad diacrónica es, en realidad, un problema subsidiario ligado a asumir una ontología tridimensional y una metafísica presentista.

En segundo lugar, daré algunos argumentos físicos a favor del tetradimensionalismo. En particular, argumentaré que tenemos sólidos motivos empíricamente fundamentados para considerar que el tridimensionalismo puede ser puesto en duda a la luz de la física contemporánea, principalmente, a la luz de la teoría especial de la relatividad. Resultando el tridimensionalismo cuestionado por motivos físicos, abriré el camino para abordar el problema de la identidad diacrónica desde una perspectiva más acorde a la evidencia empírica actual.

2. El cambio de lo mismo: ¿en qué consiste el problema de la identidad diacrónica?

Una manera de empezar a precisar el problema de la identidad diacrónica consiste en distinguir diferentes tipos de identidades y, a su vez, distintos problemas asociados con esos tipos de identidades. En una primera instancia, podemos diferenciar entre identidades temporales e identidades atemporales. Cuando decimos que a=a , la identidad es atemporal ya que los objetos (lógicos o matemáticos, por ejemplo) en consideración no tienen existencia en el tiempo y, por lo tanto, su identidad es independiente de él. Sin embargo, cuando digo que mi perro que salió a jugar a la mañana es el mismo que ahora duerme, o que mi despertador de hoy es el mismo que sonó ayer y sonará mañana, hablamos de identidades temporales: la identidad de esos objetos depende del tiempo porque son objetos que existen en el tiempo. El problema de la identidad diacrónica, naturalmente, involucra este segundo tipo de identidades.

Entre las identidades temporales podemos, a su vez, reconocer dos subtipos: la identidad sincrónica y la identidad diacrónica. Aunque los conceptos son distintos, no por ello ha de pensarse que se trata de conceptos y problemas que no guardan ningún tipo de relación; como señala Eric Olson (2010), la distinción simplemente busca abordar la identidad de los objetos a partir de situaciones distintas. La identidad sincrónica, o también identidad en un tiempo, considera casos en los cuales decimos que un objeto es idéntico a otro en un mismo instante temporal. André Gallois toma como ejemplo una mesa en una habitación que es idéntica a mi mesa favorita (Gallois 2011). En este caso, hablamos de la misma mesa en un mismo tiempo, solo que considerando dos propiedades distintas de la, pretendida, misma mesa: la propiedad de estar en un cierto lugar del espacio y la propiedad de ser mi mesa favorita. El problema de la identidad desde una perspectiva sincrónica se funda en qué propiedades o conjunto de propiedades deben instanciarse a los fines de identificar dos objetos y tratarlos simplemente como el mismo: ¿por qué dos tramos de una ruta son idénticos a un camino? ¿Es mi mente idéntica a mi cerebro? La identidad diacrónica, en cambio, se pregunta por la identidad de un objeto a través de una serie temporal, de t_0 a t_n, es decir, busca trazar la identidad de, presuntamente, un mismo objeto a través de la dinámica de diferentes instancias temporales. David Lewis (1986) llamó “persistencia” a este fenómeno diacrónico: “algo persiste si y solo si de alguna manera u otra, existe en varios tiempos” (1986 202).

El problema filosófico de la identidad diacrónica es un problema qué surge muy temprano en la filosofía. En la época clásica, por ejemplo, el problema aparece frecuentemente vinculado a ciertas paradojas como el “argumento del crecimiento” de Epicarmo o la “Barca de Teseo”. (ver Chisholm 1976 cap. 3). Estas famosas paradojas filosóficas buscaron poner en evidencia la tensión existente entre dos conceptos fuertemente relacionados, aunque aparentemente contradictorios: los de identidad y cambio. Intuitivamente, suponemos que las cosas pueden cambiar, que podemos alterar sus propiedades y, de esa manera, justificar la idea de un cambio de lo mismo; pero, ¿hasta dónde una entidad soporta cambios en sus propiedades y cuándo comienza a ser otra entidad, diferente a la primera? ¿Cuál es el punto de equilibrio y de inflexión entre identidad y cambio?

En términos un poco más modernos y precisos, Gallois (citando a Irving Copi) plantea el problema de la identidad diacrónica en términos de dos intuiciones firmes pero contradictorias (al menos en apariencia):

Estos enunciados encierran de manera general el problema de la identidad diacrónica, expresado en términos de la tensión entre permanencia y cambio. Sin embargo, el problema también aparece cuando concebimos otros principios filosóficos sumamente importantes. Por ejemplo, consideremos el Principio de Indiscernibilidad de los Idénticos (comúnmente llamada “Ley de Leibniz”, la conversa del Principio de Identidad de los Indiscernibles). Conforme al principio, si dos objetos son idénticos, entonces son indiscernibles, es decir, tienen todas sus propiedades en común. Si bien el principio es comúnmente enunciado en términos atemporales, es posible formularlo en términos que involucren el paso del tiempo: si un objeto determinado se define en función de qué propiedades instancia (tal como el principio asume), ¿qué sucede con presuntamente ese mismo objeto cuando sufre algún tipo de alteración en sus propiedades a través del tiempo? Si discernibilidad es suficiente para afirmar la no-identidad, ¿por qué un conjunto de propiedades que cambian es intuitivamente considerado como parte del mismo objeto y no como indicio de que lidiamos con dos objetos distintos? En tanto hay distinguibilidad, ya que se presupone el cambio, ¿por qué debería sostenerse la identidad?

Una solución al problema de la identidad diacrónica ha sido propuesta por Aristóteles y continuada, con modificaciones, hasta nuestros días. En líneas generales, la estrategia consiste en formular una ontología que distinga entre sustancias o propiedades esenciales y propiedades accidentales. Aristóteles desarrollo su ontología de sustancias y accidentes, donde la permanencia se explicaba en términos de la permanencia de la sustancia, y el cambio en virtud de la modificación en las propiedades accidentales. Para Aristóteles existe una identidad esencial que es una suerte de unidad de ser (1018a 5) que descansa en el concepto de esencia u ousía, lo que es ser un algo (1029b 25-35)1.

Más allá de las particularidades y discusiones pormenorizadas acerca de cómo Aristóteles caracterizó su ontología o conceptualizó el concepto de esencia (variante a lo largo de toda su obra), resulta claro que la estrategia aristotélica consiste en postular que no todas las propiedades en una cosa tienen la misma relevancia y el mismo estatus a la hora de definir su identidad a través del paso del tiempo y el cambio: existirían ciertas propiedades que resultan privilegiadas, o más relevantes, a la hora de considerar la identidad de un objeto, mientras que otras propiedades podrían cambiar, aparecer o desaparecer sin afectar su identidad. El tipo de esencialismo filosófico defendido por Saul Kripke (1980) o Hillary Putnam (1975), por ejemplo, se fundamenta en singularizar una propiedad (o un conjunto de propiedades) esencial(es), gracias a la cual un objeto no sólo es lo que es y no es otra cosa, sino que también es lo que nos permite identificar esa clase de objetos a través de distintos mundos posibles: podríamos cambiar muchas propiedades del agua, pero no dejará de ser H2O. Es precisamente esta propiedad esencial (la estructura molecular del agua, por ejemplo) la que nos permite la transidentidad a través de mundos posibles, donde otras propiedades se ven alteradas2.

3. Los objetos físicos cambian, pero ¿qué es un objeto físico? tridimensionalismo y tetradimensionalismo

Dada esta manera de formular el problema de la identidad diacrónica en términos de la tensión entre permanencia y cambio, podría pensarse que ofrecer una respuesta satisfactoria al problema de la identidad diacrónica depende, en buena medida, de lograr articular una ontología de sustancia y accidentes, o de poder singularizar ciertas propiedades como esenciales. Yuri Balashov (2011) advierte que abordar el problema en estos términos ha empantanado la discusión, atribuyéndole problemas propios de una específica posición filosófica como el aristotelismo o el esencialismo. Por este motivo, uno de los objetivos de este artículo consiste en enfocar el problema de la identidad diacrónica desde otra perspectiva. Comenzaré esta aproximación desde un ejemplo sencillo de inspiración cartesiana: una vela sobre una mesa.

Imaginemos una vela azul, delgada, de veinte centímetros de largo sobre mi mesa favorita. Esta es la vela al atardecer, a las 19:05hs. Media hora después, ya completamente a oscuras, encendemos la vela y esta comienza a brillar, alumbrando toda la habitación. Inmediatamente, la vela comienza a derretirse con lentitud. Una hora más tarde, la misma vela sigue encendida, aunque algunas de sus propiedades han cambiado: es ligeramente más corta -quizás unos 4 o 5 centímetros más corta- y es sensiblemente más asimétrica respecto de la misma vela al atardecer: ahora su base es más ancha que su extremo superior. Al otro día, por la mañana, miramos la vela y ha cambiado completamente sus propiedades. Ahora se reduce a una amorfa masa de parafina extendida a lo largo y ancho del plato que la contenía, no sólo ya no brilla, sino que no es ni azul, ni mide veinte centímetros ni es delgada. Si bien la vela es prácticamente irreconocible, creemos incuestionadamente que se trata de la misma vela que ha cambiado sus propiedades a través del intervalo temporal que se extiende desde el atardecer hasta la mañana del día siguiente. En absoluto pensamos que se trata de otra entidad que ha remplazado a la vela original en algún momento de ese intervalo.

La vela ha cambiado, es indudable. Pero no lo suficiente como para ser otra vela o cualquier otro objeto posible. ¿En qué medida hubo cambio y en qué medida hubo preservación de la identidad? Una solución, como mencioné anteriormente, consiste en apelar a una estrategia esencialista: son las propiedades accidentales de la vela las que en realidad han cambiado. Si bien la mayoría de sus propiedades ha desaparecido, su esencia ha permanecido inmutable y sobre ella recae su identidad.

Sin embargo, podemos ensayar otra manera de formular el problema. Siguiendo a Balashov (2011), una manera alternativa de formular el problema consiste en apelar a la discusión filosófica acerca de cuál es la constitución de los objetos físicos; en particular, apelar a las nociones de “parte” y de “localización”. Bajo esta nueva óptica, el problema de la identidad diacrónica asume la forma de una discusión sobre cómo los objetos persisten en el tiempo, en particular, sobre si los objetos tienen partes espaciales y están multilocalizados en el tiempo, o si, por el contrario, los objetos tienen genuinamente tanto partes espaciales como temporales. Estas posiciones filosóficas han sido denominadas, respectivamente, tridimensionalismo y tetradimensionalismo. Analicemos con un poco más de detalle estas posturas.

En primer lugar, el tridimensionalista (o endurantista, como también se ha denominado a quien defiende esta posición) sostiene la tesis de que un objeto existe de manera completa en el espacio, pero está multilocalizado en el tiempo. Un objeto tiene “partes espaciales”, como las patas de una mesa, o el hemisferio derecho de mi cerebro, pero no tiene “partes temporales”, es decir, la mesa-hace-media-hora no es una parte de la mesa en el mismo sentido en el que lo son sus patas. Ser una parte de un objeto es ser una parte espacial; los objetos se constituyen de manera acabada a través de sus diversas partes espaciales3. Considerando la noción de cambio e introduciendo la noción de tiempo, Kristie Miller afirma que, de acuerdo al tridimensionalista,

Un objeto dura si y solo si está totalmente presente en cada momento en el cual existe, donde un objeto está “totalmente presente” en un tiempo solo en el caso de que todas sus partes estén presentes en ese tiempo […] (Miller 2005 94).

Si bien Miller apela a nociones técnicas para especificar esta definición, como “ser ‘partmb’” o la noción de “tly” (Miller 2005 93-95), lo central y general a tener en cuenta en la definición citada es que para el tridimensionalista un objeto es, fundamentalmente, una entidad tridimensional con partes extendidas en las tres dimensiones espaciales y que existe completamente en cada instante temporal. Retornando a nuestro ejemplo, la vela por el atardecer es la vela existiendo completamente como una unidad objetual en un instante temporal determinado. Desde un punto de vista tridimensionalista, la noción de “partidad” (parthood) sólo cobra sentido en términos espaciales: la mecha de la vela es una parte de la vela, al igual que su base, que es otra parte; ninguna de las partes es la vela, naturalmente.

Visión tridimensionalista de un proceso físico.
Figura 1.
Visión tridimensionalista de un proceso físico.
Fuente. elaboración propia.

En conclusión, el tridimensionalismo podría resumirse en dos tesis: (a) ser parte de un objeto es ser una parte espacial; (b) un objeto está multi-localizado en el tiempo.

A diferencia del tridimensionalista, el tetradimensionalista (o perdurantista) sostiene que la unidad objetual de los objetos no se funda ni se agota únicamente en sus partes espaciales. De acuerdo a su postura, los objetos son entidades espacio-temporales, y en tanto tales, comprehenden tanto partes espaciales como partes temporales. Un objeto físico, por lo tanto, se extiende en el tiempo (específicamente, en el espacio-tiempo) tal como mi mesa se extiende en el espacio desde una pared a otra de mi habitación. Miller (2005), parafraseando a Ted Sider, define la tesis del tetradimensionalismo en los siguientes términos:

Un objeto O perdura si y solo si es una fusión mereológica de partes temporales, donde x es una parte temporal instantánea de y en t si y solo si x es parte de y, y x existe solamente en t y x se superpone en todas las partes de y que existan en t (Miller 2005 96).

Ted Sider (2001), por su parte, resume la tesis central de tetradimensionalismo como la “afirmación que, necesariamente, cada objeto espacio-temporal tiene una parte temporal en cada momento en el cual existe” (Sider 2001 49). Conforme a esta tesis, un objeto físico ocupa una región espacio-temporalmente extensa y, por lo tanto, tiene partes temporales que ocupan cada subregión espacial de la región que ocupa el objeto. La vela al atardecer es una genuina parte temporal de la entidad espacio-temporal vela que consta de partes distribuidas y extendidas tanto en el espacio como en el tiempo: la vela se extiende desde el tiempo t_1 hasta el tiempo t_n, tanto como se extiende espacialmente desde lo que llamamos mecha hasta lo que llamamos base. En pocas palabras, al concebir la vela al atardecer no estamos concibiendo un objeto en su completa unidad objetual, sino meramente una parte (temporal) de él. Pero, además, tal como sugiere Ned Markosian (2014), aceptar el tetradimensionalismo depende de aceptar otra tesis filosófica respecto de la naturaleza del tiempo, a saber, que espacio y tiempo son análogos en su naturaleza: una parte temporal se extiende de manera análoga como se extiende una parte espacial. Naturalmente, esta tesis es prima facie incompatible con el tridimensionalismo ya que éste asume que el tiempo tiene un carácter especial y diferente al espacio. Sin embargo, la tesis necesita especificar el alcance de la analogía, ¿tiempo y espacio son análogos en todo respecto? ¿En algún respecto? ¿En cuál? (más sobre este punto luego).

Visión tetradimensionalista de un proceso físico
Figura 2.
Visión tetradimensionalista de un proceso físico
Fuente. elaboración propia.

Volviendo a nuestro ejemplo, en la Figura 2 se ve claramente cómo la unidad objetual de la vela está dada tanto por sus partes espaciales, extendida a lo largo del eje x e y, como también por sus partes temporales, cada instante temporal a lo largo del eje vertical. La unidad objetual de la vela está dada por el bloque espacio-temporal resultante de la combinación de las dimensiones.

Willard V. Quine (1991) sostuvo una versión simple del tetradimensionalismo: cualquier objeto físico es la región espacio-temporal que ocupa (1991 16). Sin embargo, esta es solamente una versión elemental del tetradimensionalismo y uno no debe, necesariamente, comprometerse con una tesis como la de Quine. Por ejemplo, uno podría sostener que los objetos físicos son “fusiones” de partes temporales o que “están esparcidos a través del tiempo”. Una imagen común utilizada para ilustrar estas ideas es la de un objeto como siendo un “gusano espacio-temporal” (usualmente llamadas “teorías de gusano” o “worm theories”): un objeto es una sucesión de partes temporales que forman la unidad de un todo espacio-temporal. Lo importante a destacar en el marco del tetradimensionalismo es que lo que llamamos propiamente objeto, lo que agota cabalmente la unidad objetual del objeto, no es una totalidad espacial multilocalizada en una serie de instantes temporales, sino que, por el contrario, es la totalidad de partes espaciales y temporales que ocupa.

4. Metafísica del espacio y el tiempo: disolviendo el problema de la identidad diacrónica

En la sección anterior he caracterizado dos posiciones filosóficas tradicionales y relevantes para abordar de una manera diferente el problema de la identidad diacrónica: el tridimensionalismo y el tetradimensionalismo. A lo largo de esta sección, argumentaré que el problema de la identidad diacrónica, tal como fue enunciado en la primera sección, sólo surge, cobra sentido y particular relevancia filosófica en el marco de la ontología propuesta por el tridimensionalismo. En particular, señalaré que el tridimensionalismo se relaciona estrechamente con dos tesis acerca de la naturaleza del tiempo: por un lado, que existe una dinámica temporal donde el momento presente tiene un estatus ontológico privilegiado y, por el otro lado, que el tiempo es “especial” y que, por lo tanto, no es análogo al espacio.

Vale la pena la siguiente aclaración, antes de comenzar a desarrollar los puntos mencionados. Es un punto sumamente delicado, y no a menudo advertido en la literatura, cómo trazar las vinculaciones entre las diferentes teorías metafísicas respecto de la naturaleza del tiempo y la existencia o no de partes temporales a la hora de especificar cómo se constituyen los objetos físicos: ¿en qué dirección debemos establecer la flecha? ¿Son las teorías acerca de la naturaleza del tiempo las que nos compelen a aceptar o negar la existencia de partes temporales, o viceversa? Tal como existe consenso mayoritario acerca cierta independencia entre los dos puntos de discusión (tal como señala Balashov 2011: sección 2, pie de página 13. Para disidencias respecto de esta actitud mayoritaria, ver Carter y Hestevold 1994; Merricks 1995), también es cierto que existen vínculos más naturales entre ciertas teorías acerca de la naturaleza del tiempo y la existencia o no de partes temporales. Por un lado, quienes sostienen una ontología tridimensional tienden a asumir el presentismo respecto de la naturaleza del tiempo (ver Balashov 2011; Hestervold y Carter 2002). Trenton Merricks (1995) defiende, de hecho, que existe una implicación entre asumir el presentismo y sostener que los objetos no tienen partes temporales (para un enfoque que formula una ontología tetradimensional y sin embargo presentista, ver Brogaard 2000. Para una crítica a la implicación defendida por Merrick, ver Lombard 1999). Asumido el presentismo, también se presume que uno se compromete con la tesis del flujo temporal (Teoría A del tiempo) (Hestervold y Carter 2002, por ejemplo). Por otro lado, quienes sostienen una ontología tetradimensional encuentran en el eternalismo un terreno filosófico más afín a sus compromisos filosóficos (típicamente, Balashov 2011. Para posiciones más fuertes, ver Merricks 1995; Hinchliff 1996). No ahondaré en los argumentos particulares para defender una implicación u otra (la bibliografía es sumamente rica en este respecto), ya que no es el objetivo central del artículo. El punto conceptual a abordar consiste en alumbrar cómo estas tesis filosóficas se relacionan para dar lugar a un problema o cómo el problema las asume para poder ser formulado y tener relevancia filosófica.

Comencemos por vincular el problema de la identidad de los objetos a través del tiempo con las posiciones filosóficas esbozadas en la sección anterior mediante una aproximación más intuitiva. Como mencioné anteriormente, para el tridimensionalista un objeto se determina mediante sus partes espaciales mientras que se encuentra múltiplemente localizado en una sucesión temporal. El problema de la identidad diacrónica, justamente, pone en tela de juicio los motivos cotidianos que tenemos para afirmar que se trata del mismo objeto, con sus cambios, a través de los diferentes instantes temporales. Notemos cómo un problema análogo no surge cuando consideramos la extensión espacial de los objetos: bajo el tridimensionalismo, y nuestras intuiciones parecen acordar con esta posición filosófica, la unidad objetual se determina considerando todas sus partes espaciales, por lo que carecería de completo sentido afirmar que un objeto se encuentra en dos lugares al mismo tiempo porque una parte de él se encuentra contra la pared y la otra parte 1.5 metros hacia la izquierda. De manera similar, no diríamos que yo (en tanto cuerpo) me encuentro en dos lugares simultáneamente porque mis pies están en contacto directo con el piso y mi cabeza 1.62 metros más arriba. Es la propia determinación completa de un objeto mediante sus partes espaciales (y plausiblemente se deba a qué significa “ser una parte” en esta filosofía) la que determina que no surja ningún tipo de problema con respecto a la identidad de los objetos a través del espacio.

Cuando miramos el problema de la identidad diacrónica bajo la perspectiva del tetradimensionalismo, la disolución del problema resulta completamente intuitiva, tal como resultaba completamente razonable que no surgiese un problema análogo con la identidad de los objetos a través del espacio bajo el tridimensionalismo. Y esta conclusión se funda en que son las partes de un objeto, espaciales y temporales para el tetradimensionalista, las que determinan la unidad objetual sobre la cual preguntaremos si se preserva, o no, la identidad. En la medida en que un objeto tetradimensional es una composición de sus partes espaciales y temporales, cualquier pregunta filosófica que refiera al objeto como totalidad deberá comprehender todas sus partes, sean estas espaciales o temporales.

Llegado este punto, podría pensarse que el tetradimensionalismo propone una disolución trivial del problema de la identidad diacrónica en tanto elimina la noción de cambio y de tiempo. Lombard (1999) parece sugerir precisamente este punto: el tetradimensionalismo, tal como es usualmente defendido, nos enseña un mundo sin cambio al negar el presentismo. Al no haber tiempo, y al no haber cambio a través del tiempo, trivialmente no tiene sentido preguntarse por la identidad de un objeto que no cambia en el tiempo. Sin embargo, esto sería inexacto. Si bien el tetradimensionalista entiende la naturaleza del tiempo de manera diferente al tridimensionalista (tal como veremos a continuación para reforzar el enfoque intuitivo del párrafo anterior), no por ello elimina la noción de tiempo o no por ello es incapaz de concebir la noción de cambio. En primer lugar, si el tetradimensionalismo asume una teoría eternalista del tiempo, sería injusto exigirle que dé cuenta del cambio en los mismos términos en los que el presentismo lo hace. En segundo lugar, la noción de tiempo es central en el tetradimensionalismo en la medida en que es la que permite adjudicar partes temporales a los objetos. Finalmente, una visión tetradimensional de los objetos (o del universo mismo) no implica que no haya cambio o que el universo sea una entidad estática. El punto es sutil pero sumamente relevante: el tiempo es parte constitutiva del universo (pensado como objeto físico), sólo que es una dimensión a lo largo de la cual los objetos pueden cambiar como cambian en el espacio. Bajo una perspectiva tetradimensional sería absurdo adjudicarle al tiempo la propiedad de ser estático o ser dinámico. Como sostiene Huw Price, el tiempo no es una entidad que esté en sí misma en el tiempo; no es la clase de entidad de la cual pueda predicarse que cambia a lo largo del tiempo, ni que fluye en el tiempo (Price 1996 cap. 1).

Al no haber eliminado la noción de tiempo ni la noción de cambio, la disolución del problema de la identidad diacrónica bajo una perspectiva tetradimensionalista opera de una forma más compleja. El punto neurálgico de divergencia, y a lo largo de esta línea argumentaré a continuación, consiste en entender cómo se articula la noción de objeto físico con dos tesis respecto de la naturaleza del tiempo para así dar lugar y relevancia filosófica al problema de la identidad diacrónica. En particular, ofreceré dos argumentos para ilustrar este punto: el primero busca mostrar que el problema de la identidad diacrónica presupone la tesis del presentismo, y por ende la tesis de la objetividad del flujo temporal; y al aceptar estas tesis, el problema también se compromete con una ontología tridimensional. La contracara de esta tesis consiste en que, en el marco de una ontología tetradimensional, el problema de la identidad diacrónica se ve fuertemente desmotivado y opacado. El segundo argumento involucra la aceptación o el rechazo de la llamada “tesis de la analogía entre espacio y tiempo”: mientras que el tridimensionalista rechaza la analogía, tratando al tiempo como algo sustancialmente distinto al espacio, el tetradimensionalismo se sigue de aceptar tal analogía.

4.1 Eternalismo versus presentismo: argumento desde la ontología del tiempo

En esta primera subsección, argumentaré que el problema de la identidad diacrónica asume el presentismo, y este a su vez no solo implica la objetividad del pasaje temporal sino también una ontología tridimensional. De esta manera, se muestra que el problema de la identidad diacrónica cobra relevancia filosófica solo en el contexto de una ontología donde los objetos físicos no tienen partes temporales.

Existen varias maneras de caracterizar el presentismo (una buena recopilación de definiciones se encuentra en Hestevold y Carter 2002). Incluso se ha argumentado que el presentismo o es verdaderamente trivial, o es evidentemente falso. En términos generales, el presentismo se compromete con la afirmación de que es siempre verdadero que solamente el momento presente existe (Markosian 2014), mientras que el pasado ya existió y dejó de existir, y el futuro todavía no existe. A su vez, el presentismo implica otra tesis filosófica respecto de la dinámica del tiempo: la llamada “tesis-A”. Introducida por McTaggart (1908), la distinción entre tesis-A y tesis-B (y, consecuentemente, entre series-A y series-B) recoge dos visiones diferentes respecto de cómo interpretar la dinámica temporal. De acuerdo a la serie-A (implicada por el presentismo), la serie temporal se caracteriza a partir de un punto en esa serie y mediante el uso de indexicales tales como “ahora”, “pasado”, “futuro”, “mañana”, etc. Es el flujo del tiempo el que conduce los eventos de un estatus ontológico a otro.

Vale aclarar, sin embargo, que sostener la tesis de la objetividad del flujo temporal (la tesis-A) no implica asumir el presentismo: por un lado, el presentismo es solamente una versión de la tesis del flujo temporal (una en la que solo el presente existe y tiene un carácter dinámico objetivo) y, por otro lado, existen posiciones filosóficas que defienden la idea de un flujo temporal objetivo sin asumir el presentismo (la teoría del “universo creciente” -‘growing universe theory’- es un claro exponente de una teoría no presentista pero que adopta la tesis A, ver Markosian 2014).

La relación entre el problema de la identidad diacrónica, el presentismo y una ontología tridimensional se puede establecer de la siguiente manera: cuando contemplábamos la vela, lo que objetivamente existe en cada instante temporal es la vela completa, concibiendo todas sus partes constituyentes, y el cambio surge precisamente cuando consideramos la unidad de estas partes en un intervalo temporal conformado por estos múltiples instantes. Los objetos físicos, inmersos en el tiempo, se ven arrastrados por la dinámica del momento presente, por este fluir constante de “ahoras”. Cuando contemplábamos la vela al atardecer, la contemplábamos como un objeto completo (i.e. considerando todas sus partes, exclusivamente espaciales) existiendo en ese instante temporal; el cambio aparece cuando contemplamos ese mismo objeto a través del fluir de instantes temporales, de presentes que van siendo y dejando de ser de manera dinámica; es decir, respecto de un parámetro externo que refleja una sucesión de instantes. Y es precisamente en términos de ese parámetro externo dinámico que preguntamos si se conserva o no la identidad de lo que cambia. Si el tiempo no es concebido en estos términos, no resulta claro cómo el tridimensionalista podría dar cuenta del cambio.

Para motivar la relación entre presentismo y una ontología tridimensional, podemos considerar el siguiente argumento basado en la idea que el presentismo no es compatible con una ontología tetradimensional: si el presentismo es verdadero, entonces solo el presente existe y sólo los objetos presentes existen. Un objeto no puede tener como parte un objeto que no existe (Merrick 1995 524), entonces todas las partes de un objeto existen al mismo tiempo, en el presente. Pero asumir el tetradimensionalismo implica aceptar que los objetos están compuestos por partes temporales existiendo en diferentes tiempos. Por lo tanto, el tetradimensionalismo no es compatible con el presentismo. Ergo, el tridimensionalismo se sigue del presentismo (o, al menos, lo motiva fuertemente). Tomando estas tesis en conjunto, el problema de la identidad diacrónica cobra relevancia filosófica.

Cuando, en cambio, adoptamos una ontología tetradimensional, el panorama luce muy distinto. Del argumento anterior se sigue que el tetradimensionalismo no es compatible con (o directamente niega) el presentismo: pasado, presente y futuro tienen el mismo estatus ontológico en cuanto a su existencia, siendo “localizaciones” en el bloque espacio-temporal. Esta tesis es comúnmente denominada eternalismo, y puede expresarse en términos de la teoría-B del tiempo: al negar que existan genuinas propiedades temporales tales como “ser el pasado de” o “ser el momento ahora”, el eternalista sólo concibe relaciones en la serie temporal. Si bien naturalmente afín con la tesis-B o la negación del flujo temporal, el eternalismo no implica necesariamente la tesis-B del tiempo: existen formulaciones eternalistas del tiempo que aceptan la tesis-A, por ejemplo, la teoría del “moving-spot light” (ver Broad 1927).

Entendiendo que el tiempo es mucho más parecido al espacio de lo que cree el presentista, el eternalista sostiene que no hay nada ontológicamente especial en el momento presente, tal como no hay nada especial en “estar al Norte” o “estar aquí”: ambos solo cobran sentido en una relación y no pueden interpretarse como propiedades reales de la serie temporal. Esta tesis, usualmente denominada “tesis de la analogía entre espacio y tiempo” también juega un papel sumamente relevante en la vinculación de todas estas ideas y el problema de la identidad diacrónica. El segundo argumento se fundamenta en esta tesis filosófica, tal como presentaré a continuación.

4.2 ¿Qué tan parecidos son espacio y tiempo? Argumento desde la analogía entre espacio y tiempo

La tesis de la analogía entre espacio y tiempo (TA en adelante) parte de considerar que espacio y tiempo son similares en naturaleza. Esta tesis sugiere, al menos, dos afirmaciones: por un lado, que ninguna posición filosófica debería fundamentarse en base a una supuesta diferencia entre espacio y tiempo; y, por otro lado, que espacio y tiempo deben ser tratados de la misma manera, es decir, que sin ningún argumento adicional mediante, si suponemos que en virtud de la naturaleza del espacio cierta tesis filosófica se sigue, deberíamos suponer que también se sigue de considerar la naturaleza del tiempo. Los alcances y límites de la analogía ya han sido abordados en la literatura (para una posición crítica, ver Rea 1998): ciertamente, suponer que espacio y tiempo son iguales en todo respecto llevaría a sostener una tesis con la cual difícilmente algún filósofo quiera comprometerse; si la analogía sugiere que espacio y tiempo son similares en algún respecto, la analogía roza la trivialidad, ya que difícilmente algún filósofo la cuestionaría así enunciada. Por otro lado, es ciertamente difícil precisar en qué respecto TA es válida.

Una primera línea de aproximación a esta respuesta se basa en señalar que el tiempo es análogo al espacio en tanto dimensión de una totalidad espacio-temporal (Sider 2001; Rudder Baker 2009): tal como una posición espacial no tiene estatus ontológico particular alguno con respecto a cualquier otra posición, el momento presente tampoco lo tiene. En términos más generales, así como la dimensión representada por el eje x no goza de ningún privilegio metafísico respecto de la representada por el eje z, la dimensión t tampoco debería tener algún estatus privilegiado. Como afirma Theodore Sider: “Todos los objetos físicos son representados en nuestra experiencia como estando localizados tanto en el espacio como en el tiempo. Hay una estructura topológica y métrica común entre cualquier dimensión espacial y temporal (al menos, relativa a un sistema de referencia)” (Sider 2001 87). El vínculo entre TA y el tetradimensionalismo ya se encuentra encriptado en la cita de Sider y en las afirmaciones anteriores. Pongamos de manifiesto este vínculo con un poco más de claridad.

El argumento para mostrar este vínculo es el siguiente. En primer lugar, es un hecho comúnmente aceptado que los objetos se extienden en el espacio en tanto están sólo parcialmente presentes en todos los puntos del espacio que ocupan (otra manera de decir que los objetos constan de partes espaciales y el objeto existe parcialmente en cada una de sus partes): la vela está parcialmente presente en cada punto que ocupa y está completamente presente (al menos espacialmente) en la región espacial que ocupan todos esos puntos. En segundo lugar, bajo el supuesto de TA, no hay motivo para pensar que los objetos se relacionan temporalmente de una manera distinta como lo hacen espacialmente: nada hay en la naturaleza del espacio o el tiempo que nos obligue a un tratamiento diferenciado. Pero, si espacio y tiempo son semejantes en naturaleza y en tanto dimensiones de una totalidad espacio-temporal (recordar que estamos suponiendo TA y que no se han dado motivos para pensar que deba haber una diferencia entre ellos en cuanto a la constitución de los objetos físicos, tal como en general asumimos que no hay diferencia entre las diferentes dimensiones espaciales), los objetos físicos deben extenderse tanto en el espacio como en el tiempo. Esto habilita a concebir que los objetos también tienen partes temporales, es decir, a sostener el tetradimensionalismo: cada instante temporal es análogo a cada punto del espacio, y un objeto físico sólo existe parcialmente en cada instante temporal: la vela al atardecer es una parte (temporal) de la entidad espacio-temporal vela, como la mecha es una parte (espacial) de la misma entidad espacio-temporal. Nótese que, si el tiempo fuese distinto en naturaleza al espacio, entonces no habría motivos, al menos evidentes, para sostener la existencia de partes temporales. Por lo tanto, TA implica el tetradimensionalismo.

Anteriormente, mencioné brevemente que el tetradimensionalista no disuelve el problema de la identidad diacrónica por, eliminar, meramente, la noción de cambio o la noción de tiempo. Por el contrario, es muy importante resaltar que el tetradimensionalista resignifica estas nociones a la luz de su ontología. Si los objetos son considerados como “gusanos espacio-temporales”, donde el tiempo ya no es un parámetro externo ni goza de un estatus privilegiado frente al espacio, los cambios en el tiempo deben pensarse análogamente a como pensamos los cambios en el espacio: tal como los objetos pueden ser espacialmente asimétricos, también pueden ser asimétricos en su dimensión temporal. Un objeto que cambia es, desde un punto de vista tetradimensional, un objeto temporalmente asimétrico, de la misma manera que un sofá o una casa pueden ser asimétricos en el espacio. Esto, en absoluto, desmiente por completo la idea psicológica o fenoménica de cambio en el tiempo (mediante el pasaje temporal), sino que la explica sobre una base ontológicamente más adecuada: una asimetría en la dimensión temporal explica que nosotros percibamos el mundo como si existiera un flujo temporal o como si objetos tridimensionales cambiarán a través de los distintos instantes temporales que se suceden uno tras otro. En relación a nuestra experiencia, el tetradimensionalista diría que no existe tal fluir temporal, porque el tiempo no es algo de lo cual pueda decirse que tiene o no una dinámica, como tampoco puede predicarse una dinámica o un fluir del espacio. Sería un error categorial, desde el punto de vista del tetradimensionalista. En su lugar, sostendría que lo que experimentamos como cambio de un objeto en el tiempo no es sino una asimetría en su dimensión temporal, una asimetría que se evidencia cuando el objeto es visto desde una perspectiva completa, es decir, desde una perspectiva espacio-temporal.

Por el contrario, es evidente que el tridimensionalismo no puede sostener TA tal como ha sido enunciada. Una de las premisas para defender que los objetos solo tienen partes espaciales se fundamenta en que el tiempo tiene un carácter especial (tal como argumenté en la sección previa). Si el tridimensionalista aceptara TA, entonces tendría que recurrir a un argumento adicional para sostener que los objetos solo se constituyen a partir de sus partes espaciales, a pesar de ser análogos en tanto dimensiones de una totalidad espacio-temporal; pero tal argumento adicional introduciría una diferencia en el tratamiento del espacio y el tiempo, negando la tesis. Evidentemente, si el tridimensionalista acepta TA, entonces deja de ser tridimensionalista.

Resumiendo lo dicho hasta el momento, he mostrado cómo las dos posiciones filosóficas que presenté en la Sección 2 tienden a aceptar o negar ciertas tesis respecto de la filosofía del tiempo. Por un lado, mientras que el tridimensionalismo es proclive a sostener el presentismo, el tetradimensionalismo es proclive a sostener el eternalismo y negar el presentismo. Por otro lado, mientras que TA implica una ontología tetradimensional, el tridimensionalista es completamente incompatible con ella. Ahora bien, ¿cuál es el vínculo entre estos puntos de vistas y el problema de la identidad diacrónica? Mi punto precisamente es que el problema de la identidad diacrónica depende de adoptar el tridimensionalismo y que, por lo tanto, también depende de aceptar el presentismo (y con ello, la idea del flujo temporal); y, a su vez, naturalmente, depende de sostener que la TA es falsa.

Por un lado, que el problema de la identidad diacrónica dependa de rechazar TA se sigue del hecho de que no parece haber, al menos prima facie, un cuestionamiento similar respecto de la identidad de los objetos a través del espacio, lo cual indica que tiempo y espacio deben ser tratados de manera diferenciada. A su vez, el problema de la identidad de los objetos en el tiempo parece depender de la idea de un cambio a través del fluir de instantes temporales presentes: si cada instante es como una fotografía del objeto en un instante temporal, el problema consiste en cómo justificar que estamos viendo el mismo objeto a lo largo de la serie y sus cambios. Naturalmente, si se niega el flujo del tiempo en un marco tridimensionalista, ¿cómo podemos dar cuenta del cambio? ¿Cómo dar lugar al problema de la identidad a través del tiempo? Negar que exista un flujo temporal, equivale a una disolución trivial del problema de la identidad diacrónica, al costo de apelar a un quietismo radical, es decir, donde nada cambia porque no hay marco de referencia dinámico respecto del cual decir que hay cambio.

Por su parte, el tetradimensionalismo recupera la noción de cambio en términos de una asimetría de los objetos a lo largo de su dimensión temporal. Si el problema de la identidad diacrónica se disuelve en el tetradimensionalismo, no lo hace por los mismos motivos que lo haría bajo un tridimensionalismo sin fluir temporal o por una mera negación del tiempo y del cambio: el tetradimensionalismo, mediante la negación del presentismo y mediante la aceptación de TA, exige que la constitución de los objetos sea vista a partir de un punto de vista más global, es decir, a partir de uno que incluya partes temporales y donde el cambio sea asumido como una asimetría del objeto en una de sus cuatro dimensiones. Por lo tanto, de la misma manera en que no hay ningún problema con la identidad de los objetos en el espacio ni a través de sus cambios en el espacio, tampoco hay problema alguno cuando concebimos a los objetos exclusivamente en su dimensión temporal.

A lo largo de esta sección, he argumentado que el problema de la identidad diacrónica surge y cobra relevancia filosófica solo si se asume una ontología tridimensional, mientras que se disuelve (o al menos pierde mucho de su aspecto paradojal) de una manera natural si, en cambio, se asume una ontología tetradimensional. Además, he mostrado cómo estas posturas filosóficas referentes a la constitución de los objetos encuentran hábitats más favorables (ver Balashov 2011) en dos concepciones diferentes del tiempo. Dado el conjunto de estas tesis y sus relaciones, resulta claro que el problema de la identidad diacrónica tiene una naturaleza secundaria o subsidiaria, es decir, depende de dirimir si tenemos suficientes motivos y argumentos para aceptar el tridimensionalismo.

5. Tetradimensionalismo versus tridimensionalismo en un mundo relativista: disolviendo el problema de la identidad diacrónica desde la física contemporánea

En la literatura filosófica, existen numerosos argumentos a priori para defender el tridimensionalismo o el tetradimensionalismo. No ahondaré en esa clase de argumentos, sino que partiré de considerar qué tipo de razones físicas tenemos actualmente a disposición para inclinarnos por una u otra posición filosófica respecto de la constitución de los objetos físicos. Dado que el nudo gordiano del problema radica en aceptar o no la existencia de partes temporales, resulta razonable consultar a nuestras mejores teorías físicas contemporáneas e investigar qué tesis filosófica proporciona una noción de objeto físico más acorde a la evidencia empírica disponible. Y, de acuerdo a esta clase de evidencia, parecen haber sólidos motivos para sostener que nuestro mundo parece regirse por la teoría de la relatividad (tanto en su versión especial como general), al menos a escala macroscópica. Y, a su vez, parece haber buenas razones conceptuales (tal como argumentaré en esta sección) para asumir que es el tetradimensionalismo quien proporciona una noción de objeto físico más adecuada para comprender los fenómenos en un mundo relativista4. Establecidos estos puntos, tendríamos buenas razones físicas y empíricas para desmotivar el tridimensionalismo y, con él, el surgimiento del problema de la identidad diacrónica. Dedicaré esta última sección a presentar los motivos que tenemos para sostener esta serie de afirmaciones.

5.1 Algunas nociones generales de la teoría especial de la relatividad

La geometría del espacio-tiempo a escala global está determinada por la teoría general de la relatividad mediante las ecuaciones de campo de Einstein. Estas ecuaciones vinculan la geometría del espacio-tiempo con la distribución de energía y materia en el universo, lo cual permite concebir deformaciones geométricas en el universo, si el índice de distribución de materia y energía supera cierto umbral crítico. Sin embargo, es usual asumir que si no consideramos al universo como un todo, sino que nos circunscribimos a pequeñas regiones, el espacio-tiempo de la relatividad general se aproxima al espacio-tiempo plano de la relatividad especial. Por lo tanto, por simplicidad del argumento, utilizaré esta clase de aproximación local considerando que el mundo es relativista en el sentido de que parece seguir las leyes de la teoría especial de la relatividad (TRE en adelante).

TRE es, sin lugar a dudas, uno de los hitos en la historia de la física contemporánea. Y uno de sus logros más notable, y filosóficamente más relevante, es haber transformado las nociones absolutas de “espacio” y “tiempo”, profundamente arraigadas en la visión newtoniana del mundo físico. Sin ahondar en detalles técnicos, pasaré a dar una presentación de TRE en sus aspectos formales y conceptuales, lo cual permitirá desarrollar con mayor fluidez los argumentos de la subsección siguiente.

De manera introductoria (y siguiendo la estrategia que el mismo Einstein utilizó), se suele presentar TRE como resultado de dos principios: 1) el principio de relatividad, según el cual las leyes de la física permanecen invariantes en todo sistema de referencia inercial (i.e. en reposo o movimiento rectilíneo uniforme), y 2) la velocidad de la luz es constante en el vacío (para una discusión respecto de otras formas de introducir tre, ver Maudlin 2012). Distintos sistemas de referencia pueden ser coordinados mediante un conjunto de ecuaciones, las cuales permiten expresar las coordenadas de un evento en un sistema de referencia en términos de otro sistema inercial que se encuentra en movimiento relativo con respecto a él. Este conjunto de ecuaciones se las denomina transformaciones de Lorentz y son la contraparte relativista de las transformaciones de Galileo, comúnmente utilizadas en la física newtoniana. Mientras que en mecánica clásica los objetos se mueven en el espacio y en el tiempo (entidades separadas y usualmente consideradas de carácter absoluto), los objetos en tre se mueven a través del espacio-tiempo, una nueva entidad tetradimensional5. Lo notable de este cambio en la estructura en la que los objetos se mueven es que el tiempo ya no es un parámetro externo ni una entidad separada e independiente del espacio, sino una dimensión más de un espacio geométrico mayor.

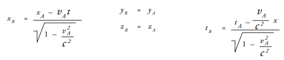
Probablemente una de las maneras más ilustrativas de presentar este punto sea en términos de cómo dos observadores inerciales analizan el movimiento de un objeto a través del espacio-tiempo. Supongamos dos sistemas de referencias inerciales, A y B, y un objeto O, una partícula viajando en el espacio-tiempo a velocidad constante. El objeto será localizado en el espacio-tiempo mediante un sistema de coordenadas relativo a A que es una cuádrupla tal que OA= (x,y,z,t) , donde las primeras tres variables corresponden a las dimensiones espaciales y t a la dimensión temporal. Si queremos expresar las coordenadas de OAde acuerdo al sistema de referencia inercial B, lo hacemos mediante las transformaciones de Lorentz:

Donde . representa la velocidad de los sistemas de referencias y . es la constante para la velocidad de la luz.

Cuando en mecánica clásica utilizábamos las transformaciones de Galileo, la distancia y la duración temporal se conservaban. Sin embargo, esto no sucede en tre: la distancia espacial y la duración temporal que mida un observador estarán condicionadas por el movimiento relativo del observador respecto de otros observadores y del objeto en cuestión. Espacio y tiempo tienen un carácter “elástico” y están fuertemente entrelazados: el intervalo espacial Δd y el intervalo temporal Δt dependen del movimiento de los observadores. Sin embargo, aunque Δd y Δt no se conserven y puedan presentar diferencias entre sistemas inerciales en movimiento relativo respecto de un mismo evento (fenómenos comúnmente conocidos como dilatación temporal o contracción espacial), el intervalo espacio-temporal sí se preserva conforme a las ecuaciones de Lorentz. El intervalo espacio-temporal es una combinación algebraica del intervalo Δd y Δt: Δs=√(c^2 Δt^2-Δd^2 ), y resulta invariante para cualquier observador inercial. Por lo tanto, aunque distancias espaciales y duraciones temporales sean relativas a un sistema de referencia, el intervalo espacio-temporal no lo es.

El espacio-tiempo de tre es modelado geométricamente por el espacio-tiempo de Minkowski M= ⟨M⁴,g⟩, donde M⁴ es una variedad tetradimensional y g es la función métrica dada por el grupo de ecuaciones de Lorentz. Todo evento en el espacio-tiempo de Minkowski es especificable mediante cuatro coordenadas: x,y,z y t. La función de coordenadas es continua, por lo que todo punto que se mueve en el espacio-tiempo de Minkowski se mueve continuamente si y solo si sus coordenadas de Lorentz varían de manera continua. Aunque la topología y la estructura afín del espacio-tiempo relativista es igual al espacio euclideo tridimensional de la mecánica clásica, la función métrica es diferente ya que, precisamente, conserva el intervalo espacio-temporal, s(p,q)=√(dt^2-dx^2-dy^2-dz^2 ) (donde p y q son dos sucesos que tienen lugar en el espacio-tiempo) Finalmente, todo vector en el espacio-tiempo de Minkowski es un cuadrivector que puede ser representado en una estructura causal espaciotemporal en los diagramas de Minkowski.

Hasta aquí, los aspectos formales básicos de tre. Sin embargo, la física es una ciencia experimental, de manera tal que la base empírica de la teoría es extremadamente importante para considerarla (aproximadamente) verdadera. Desde su formulación en 1905 hasta nuestros días, tre ha sido testeada bajo una enorme cantidad de experimentos y situaciones, muy diversas entre sí, que han dado un enorme apoyo empírico a la teoría, tanto en cómo explica los fenómenos en una buena fracción de su rango pretendido de aplicabilidad como también en el cumplimiento de muchas de sus predicciones. Incluso, una buena parte de su base empírica proviene de fenómenos y experimentos que yacen más allá del pretendido alcance de la teoría en sus orígenes: con el surgimiento de la teoría cuántica de campos, por ejemplo, la relatividad especial también recibió apoyo empírico desde el ámbito cuántico.

Hay muchas fuentes donde se analizan y presentan experimentos que dan soporte empírico a TRE (ver Holton 1962; Newman et ál. 1978; Zhang 1997 para un sumario) pero, en general, estos involucran situaciones físicas donde distancias espaciales, mediciones temporales, mediciones de energía y el comportamiento de la luz son relevantes en sistemas inerciales (i.e., sistemas no acelerados). Ya en 1905, había una buena base empírica que daba soporte a la teoría, es decir, una serie de resultados experimentales que no habían recibido hasta el momento una buena explicación teórica. Tal es el caso de muchos experimentos que involucraban la electrodinámica de cuerpos en movimiento, muchos de los cuales fueron expuestos por H.A. Lorentz en su artículo On the Influence of Earth’s Motion on Luminiferous Phenomena (1886). Tales experimentos estaban fuertemente relacionados con la teoría del éter y la hipótesis del “arrastre de éter”, vigentes desde principios del siglo dieciocho por lo menos. tres, desechando tales hipótesis, es un nuevo marco teórico para interpretar y explicar tales resultados experimentales.

Una enorme cantidad de experimentos está fuertemente relacionada con mediciones de la velocidad de la luz. Recuérdese que uno de los principios de tre es que la velocidad de la luz es constante en el vacío. El famoso experimento negativo de Michelson-Morley (1887), que buscaba medir la velocidad de la tierra a través del éter por medio de una diferencia en la velocidad de la luz en dos direcciones opuestas, estaba a la base de la formulación de tre (ver Shankland et ál. 1955 para una buena base de experimentos similares y sus resultados, como el experimento de Kenedy-Thorndike de 1932 que utilizaba un interferómetro similar al de Michelson, pero con un arreglo ligeramente distinto). Muchos experimentos modernos utilizaron láseres (por ejemplo, el experimento de Brillet y Hall 1979), y no haces de luz, para obtener resultados muy similares: no se ha registrado diferencia alguna en la velocidad de las señales lumínicas en ninguna dirección espacial, lo cual ha conducido a considerar que tal principio de tre tiene buen sustento empírico y, por lo tanto, debería considerarse (aproximadamente) verdadero.

Otros experimentos han buscado testear la hipótesis de la relatividad, en particular, la invariancia de la teoría ante las transformaciones de Lorentz, los cuales incluyen testeos de la isotropía del espacio, la dilatación temporal, el efecto Doppler, entre otros (ver Gwinner 2006). Experimentos con relojes atómicos y vida media de partículas fundamentales también completan el repertorio de la base empírica de tre en este respecto (ver Frisch y Smith 1963; Sherwin 1960). En el ámbito cuántico, el famoso teorema cpt (es decir, la simetría resultante de aplicación conjunta de inversión de carga, inversión espacial -o paridad- e inversión temporal) se sigue de considerar cualquier teoría invariante ante las transformaciones de Lorentz, siendo una consecuencia indirecta, por lo tanto, de tre. Cualquier violación de cpt es una violación de la invariancia de Lorentz (ver Kiefer 2009) y, por lo tanto, de tre. En general, se asume que cpt es globalmente valido, exceptuando algunos resultados extraños y difíciles de interpretar en el decaimiento de kaones neutros, por ejemplo.

5.2 Primer argumento a favor del tetradimensionalismo: tre y la existencia de partes temporales

El corazón del tetradimensionalismo es que los objetos poseen tanto partes espaciales como temporales, lo cual habilita a entenderlos como “gusanos” que se extienden espacio-temporalmente. Por lo tanto, el punto neurálgico consiste en determinar si efectivamente los objetos tienen partes temporales, o si, al menos, tenemos suficientes motivos para suponer que una ontología tetradimensional resulta más compatible o amigable con la evidencia disponible respecto a cómo describimos los objetos físicos. Pero, dado que nuestras intuiciones y nuestra experiencia cotidiana parecen fundarse en objetos tridimensionales que cambian en el tiempo, ¿cómo podríamos saberlo? ¿Qué contaría como tal evidencia? Como sostiene Josh Parsons: “Es una cuestión empírica si un objeto dado tiene partes espaciales y deberíamos pensar que también es una cuestión empírica si un objeto tiene partes temporales” (2000 415). Por lo tanto, una vía de investigación consiste en indagar qué dicen, o qué evidencia proporcionan, algunas de las teorías físicas fundamentales actualmente vigentes. Uno de los ámbitos clásicos de discusión es, precisamente, TRE6. Analicemos una situación física ordinaria y simple a los fines de evaluar si TRE asume, en algún sentido, la existencia de partes temporales y con ello un compromiso con el tetradimensionalismo.

Comencemos analizando el problema a partir de la mecánica clásica. Supongamos una partícula O moviéndose en un espacio físico bidimensional a lo largo de una de sus dimensiones espaciales. Si queremos seguir el rastro de la partícula, necesitamos definir en qué puntos del espacio estuvo la partícula en diferentes instantes temporales. Dado que cada punto es especificable mediante sus coordenadas espaciales y que la partícula solo se mueve a lo largo del eje x, obtenemos la siguiente figura:

Descripción Newtoniana de una partícula desde un sistema inercial.
Figura 3.
Descripción Newtoniana de una partícula desde un sistema inercial.
Fuente. elaboración propia

De acuerdo al ejemplo, la partícula tiene las coordenadas ⟨x1,y1⟩ en t0, ⟨x2,y1 ⟩ en t1 y ⟨x3,y1⟩ en t2. A los ojos de la mecánica clásica, espacio y tiempo son tratados de manera diferente desde el principio: la ubicación espacial de la partícula está dada exclusivamente por la bitupla de coordenadas espaciales y esta ubicación espacial agota toda la información que se puede ofrecer acerca de la localización (o el estado) de la partícula en el espacio físico: allí encontraremos la totalidad de la partícula expresada como la suma de sus partes espaciales y, precisamente, este es el sentido en el cual describimos la trayectoria de una partícula: sus posiciones a diferentes tiempos. En el marco de la mecánica clásica, el tiempo es exclusivamente un parámetro externo (a veces llamado “parámetro de fondo”) al sistema físico y al espacio en el cual se ubica: hay un sentido razonable y objetivo en el cual podemos tomar una de estas rebanadas temporales y decir “la partícula estaba en ⟨x1,y1⟩ en el tiempo t0”.

Ahora analicemos la misma situación física desde el marco teórico de TRE. Ahora, en lugar de considerar un espacio bidimensional y un tiempo como parámetro externo, tenemos que incluir al tiempo en la estructura espacio-temporal; por lo tanto, consideramos un espacio-tiempo de tres dimensiones, donde el tiempo es una dimensión más de esta estructura. ¿Cómo luce el recorrido de la partícula en el espacio-tiempo? Tal como especificamos cuando analizamos la situación conforme a la mecánica clásica, la ubicación de la partícula en el espacio-tiempo relativista también estará dada por un punto en ese espacio, pero a diferencia de la situación anterior, este punto es especificable mediante las coordenadas ⟨x,y,t⟩, donde la coordenada t representa el tiempo. La figura que obtenemos desde un punto de vista relativista luciría de la siguiente manera:

Descripción relativista de una partícula desde un sistema inercial
Figura 4.
Descripción relativista de una partícula desde un sistema inercial
Fuente. elaboración propia.

El recorrido de la partícula en el espacio-tiempo a la luz de tre luce más como la delimitación de una región en ese espacio que como una trayectoria a través del tiempo. Esto es comprensible desde el momento en que el tiempo ya no es una referencia “externa” o un “parámetro de fondo” como en el caso clásico: el parámetro temporal es parte de las coordenadas en un espacio-tiempo continuo. Un objeto moviéndose en el espacio a través del tiempo es, en tre, un objeto moviéndose sencillamente través del espacio-tiempo. Cuando conducimos por una ruta hacia el Este, hay un sentido en el cual nos movemos a lo largo de una dimensión del espacio, pero no en otra (por ejemplo, hacia el Norte). Pero cuando viramos hacia una dirección Noreste, hay un sentido claro, en términos de cómo entendemos el espacio físico cotidiano, en el cual “desviamos” movimiento hacia el Norte y nos movemos “menos” hacia el Este. El desvío de movimiento en un espacio es posible porque el espacio mismo está constituido a partir de sus dimensiones. Si el espacio físico es en realidad un espacio-tiempo de cuatro dimensiones, de la misma manera hay un sentido razonable en el cual podemos “desviar” movimiento en el tiempo hacia el espacio: cuando nos movemos a mayor velocidad desviamos movimiento del tiempo hacia el espacio, es decir, nos vemos “más lento” en el tiempo para movernos “más en el espacio”. Nuevamente, este desvío de movimiento se fundamenta en este profundo entrelazamiento entre espacio y tiempo a la hora de conformar el espacio físico relativista, el espacio-tiempo (Greene 2006 75).

Esta descripción del espacio-tiempo relativista y de cómo los objetos se mueven a través de él está en concordancia con ta, y consecuentemente es compatible y favorece el tetradimensionalismo. En tanto dimensiones de una totalidad espacio-temporal, no parecería haber motivo alguno para considerar una dimensión del espacio-tiempo como privilegiada o diferente respecto a cómo considerar las partes de un objeto. Vale la pena remarcar este punto: cuando pensamos la analogía entre espacio y tiempo en el marco de tre no debemos pensar que espacio y tiempo son lo mismo en todo respecto, sino que son análogos en tanto dimensiones de una entidad distinta, que es el espacio-tiempo. Espacio y tiempo pueden tener diferencias (argumento requerido mediante), pero la analogía sigue corriendo en la medida en que ambos deben ser similares en tanto dimensiones, y así como no solemos trazar ciertas diferencias entre una dimensión espacial y la otra, no deberíamos tampoco trazarlas entre una dimensión espacial y una temporal. Así comprendido, un objeto físico se extiende espacio-temporalmente como un “gusano”, ocupando una región en el espacio-tiempo. Más aún, diferentes observadores podrían desacordar acerca de la extensión de las partes temporales en función de su movimiento relativo: algunos considerarán que el intervalo temporal entre t0 y t2 es mayor, y otros considerarán que es menor. Sin embargo, todos los observadores acordarán en el intervalo espacio-temporal, es decir, en la región espacio-temporal que el objeto ocupa. Así como el intervalo espacio-temporal es una combinación algebraica de sus componentes espaciales y temporales, de modo análogo el objeto es una suma de sus partes espaciales y temporales.

Es en este sentido en el cual afirmo que el tetradimensionalismo proporciona una noción de objeto físico más acorde al tipo de descripción requerida y usualmente utilizada para describir los fenómenos en un mundo relativista. Como sostienen Hales y Johnson: “perdurantismo [tetradimensionalismo] tiene una manera natural y bella de encajar con los hechos según la relatividad especial” (2003 537). J.J.C. Smart sostiene una idea similar al decir que “una vez que aceptamos los principios y la geometría de la relatividad especial, es natural entender la extensión de los cuerpos en una manera tetradimensional” (1972 6-7). Al funcionar como un argumento para favorecer tetradimensionalismo, tre también opera como argumento para deflacionar (o disolver) la relevancia filosófica del problema de la identidad de los objetos a través del tiempo: el objeto físico como tal es una entidad espacio-temporalmente extendida y, por ello, no tiene sentido cuestionarse acerca de su cambio en el tiempo. En su lugar, el cambio es reflejado como una asimetría en su dimensión temporal, tal como mencionamos anteriormente. De hecho, uno podría sostener (tal como Mario Castagnino y Olimpia Lombardi (2009) han argumentado) que la geometría del espacio-tiempo es asimétrica en su dimensión temporal (pero no en sus dimensiones espaciales), lo cual implica una flecha global del tiempo y explica la existencia de procesos irreversibles y explica por qué ciertos cambios ocurren siempre en un sentido y no en el otro. Esto mostraría cómo la dimensión temporal puede tener una propiedad no compartida con la dimensión espacial (y, por lo tanto, diferentes en algún respecto), pero seguir siendo análogas en tanto dimensiones y análogas en su papel en la constitución de los objetos físicos. Sea como sea, desde este punto de vista relativista y tetradimensional, no parece haber ningún problema filosófico sustancial acerca de la identidad de los objetos a través una asimetría exhibida en una de sus dimensiones.

Existiría un argumento adicional, estrechamente relacionado con este punto, para sostener la objetividad y realidad de objetos tetradimensionales. En los últimos años, las simetrías de una teoría física han ido cobrando cada vez mas relevancia para echar luz a cuál es su ontología. Este argumento “de las simetrías a la realidad” (tal como Shamik Dasgupta 2016 lo llama) establece que aquellas cantidades o propiedades que permanecen invariantes ante ciertas transformaciones de simetría (como las transformaciones de Lorentz) cumple un papel especial u ontológicamente privilegiado a la luz de la teoría. Naturalmente, no es fácil elucidar qué significa, exactamente, “cumplir un papel especial” o “tener un status ontológicamente privilegiado” y existe mucha discusión en torno a cómo estas nociones deben ser especificadas. De todos modos, una de las posturas más fuertes (promocionada principalmente por Weyl 1952; Nozick 2001) consiste en asumir que aquellas cantidades o propiedades invariantes ante transformaciones de simetría tienen que considerarse objetivas y, por lo tanto, reales. En el marco de tre, aquellas cosas o propiedades que permanecen invariantes ante las transformaciones de Lorentz son precisamente tetradimensionales. Un claro ejemplo son los intervalos espacio-temporales: mientras que distancias espaciales y duraciones temporales pueden variar de un marco de referencia a otro (fenómeno comúnmente conocido como contracción espacial y dilatación temporal), el intervalo espacio-temporal es invariante. A la luz de este razonamiento, lo que existe objetivamente (i.e., lo que deberíamos asumir como real) no es aquello que varía de un sistema de referencia a otro (distancias espaciales o duraciones temporales) sino aquello que permanece invariante (el intervalo espacio-temporal). Y esto es una cantidad tetradimensional7.

5.3 Segundo Argumento a favor del tetradimensionalismo: TRE y el eternalismo

El segundo argumento para sostener el tetradimensionalismo a partir de TRE parte de considerar qué metafísica del tiempo favorece o resulta más natural con la teoría. En términos generales, suele asumirse que TRE es proclive a sostener una metafísica eternalista del tiempo y muchos autores han apelado a ella como argumento contra la tesis del presentismo. Si bien existe una abundante y extensa discusión en filosofía de la física y filosofía del tiempo acerca de si efectivamente TRE implica una metafísica del tiempo eternalista o, al menos, la favorece fuertemente (ver, por ejemplo, Rietdijk 1966; Putnam 1967; Penrose 1989), por motivos de extensión no profundizaré en esta discusión, sino que asumiré el punto vista usual. Mi motivo para proceder de esta manera radica que uno de los argumentos más fuertes para sostener la estrecha relación entre TRE y el eternalismo (o un anti-presentismo) no ha sido, hasta donde soy consciente, satisfactoriamente rebatidos. A su vez, tal como se discutió en la Sección 3, también tenemos buenos motivos para pensar que el eternalismo resulta extraño o requiere argumentos extras (y discutibles) para adecuarse a un marco tridimensionalista, con lo cual una crítica al presentismo desde TRE es, indirectamente, una crítica adicional al tridimensionalismo. La cadena argumentativa se basa en que, si tenemos motivos físico-empíricos suficientes y consistentes para considerar que TRE es una correcta descripción de nuestro mundo en cierto dominio, y si TRE favorece el eternalismo, y si el eternalismo (o el no-presentismo) no favorece el tridimensionalismo, entonces dispondríamos de motivos suficientes para defender con más fuerza la tesis del tetradimensionalismo. A su vez, naturalmente, a partir de estas consideraciones se desmotiva el presentismo a la luz de la física contemporánea y, consecuentemente, también el tridimensionalismo. Claramente, el punto neurálgico de esta argumentación consiste en mostrar que TRE favorece una posición eternalista respecto del tiempo.

Existen varios argumentos en la bibliografía filosófica que buscan demostrar esta relación. Si bien a principios del Siglo XX Hermann Minkowski (1908) ya había traducido el lenguaje eternalista respecto del tiempo en términos de TRE, sugiriendo que el espacio debería ser visto como una unidad tetradimensional (donde pasado, presente y futuro son igualmente reales), el argumento más conocido a favor del eternalismo a partir de la teoría de la relatividad probablemente sea el utilizado por Wim Rietdijk (1966), Hillary Putnam (1967) y Roger Penrose (1989). Este argumento se basa en el fenómeno de la relatividad de la simultaneidad (RS en adelante), uno de los resultados más importantes de TRE. Esquemáticamente, el argumento busca demostrar que el presentismo depende de poder definir qué significa co-existencia o co-realidad y que cualquier definición que se pueda dar de estos términos entra rápidamente en contradicción con la RS. Finalmente, al haber demostrado que el presentismo es contradictorio con la RS, se concluye que la alternativa eternalista es verdadera de acuerdo a TRE.

Naturalmente, el argumento recae en entender qué significa la RS. De acuerdo a TRE, resulta imposible establecer de manera objetiva y absoluta que dos eventos suficientemente distanciados en el espacio ocurren de manera simultánea para todo sistema de referencia: dependiendo del movimiento relativo de los observadores respecto de dos eventos A y B, algunos observadores registrarán que A y B ocurren de manera simultánea, pero otros observadores registraran que A y B no ocurren al mismo tiempo sino que, por ejemplo, observarán que A ocurre primero que B. Por lo tanto, el concepto de “simultaneidad” no es absoluto sino relativo al movimiento del sistema de referencia del observador (Einstein plantea un famoso experimento mental para ilustrar RS considerando un observador sobre un tren en movimiento inercial y un observador sobre el andén: ambos no acordarán acerca de si la luz de un rayo impactando en la mitad del tren alcanza la parte delantera y trasera del tren de manera simultánea, ver Einstein 1985). Este resultado mina directamente una de las premisas fundamentales del presentismo: la posibilidad de definir co-existencia o co-realidad (Merricks 1995). Dado que el momento presente no es objetivo sino relativo a un sistema de referencia, no es posible definir los conceptos de co-existencia o co-realidad de manera unívoca para todo sistema de referencia. Otra manera de expresar la misma idea es que no todos los sistemas de referencia foliarán el espacio-tiempo en las mismas hiper-superficies de simultaneidad, sino que esta foliación dependerá del movimiento relativo de los observadores.

En resumen, el presentisno no parece una teoría metafísica del tiempo adecuada, al menos sin asumir compromisos extras, con la estructura espacio-temporal supuesta por TRE y con cómo TRE describe los fenómenos. Pero si el presentismo es desmotivado o rebatido por TRE y, en cambio, favorece una metafísica eternalista, TRE opera como un argumento a favor para inclinarnos por una metafísica del tiempo eternalista, y con ello, por una ontología tetradimensional.

Conclusiones

A lo largo de este artículo he analizado el estatus o la relevancia filosófica del problema de la identidad diacrónica a la luz de dos objetivos. En primer lugar, mostré que el problema de la identidad de los objetos a través del tiempo solamente surge o cobra relevancia en el marco de una ontología tridimensionalista y una metafísica presentista, y que naturalmente se desvanece de una manera no trivial cuando enfocamos el problema desde una ontología tetradimensional y una metafísica eternalista. Esto me llevó a considerar que el problema depende, realmente, de aceptar una u otra posición filosófica. En segundo lugar, argumenté que tenemos suficientes motivos empíricos para asumir una ontología tetradimensional y una metafísica eternalista, dado que estas posiciones filosóficas proporcionan una noción de objeto físico y del tiempo más acordes a cómo el mundo es explicado por TRE. En virtud de este razonamiento el problema de la identidad diacrónica pierde sustancialmente relevancia filosófica, tornándose un pseudo-problema derivado de haber asumido una ontología presumiblemente implausible.

Vale la pena enmarcar esta conclusión desde un punto de vista más amplio. Si bien el artículo ha mostrado que el problema de la identidad diacrónica se desvanece cuando uno cambia algunos supuestos ontológicos relativos a la composición de los objetos físicos y a la naturaleza del tiempo, esto no indica que el problema se desvanezca de manera absoluta. La estrategia usual, como señalé en la introducción y las primeras secciones del artículo, buscaba articular una ontología que permitiera dar cuenta del cambio y la permanencia. Este artículo intentó desarticular esta estrategia y señalar que no tenemos si siquiera suficientes motivos (filosóficos y científicos) para dar lugar al problema. Podríamos sintetizar esta idea diciendo que a los ojos del mundo visto a través de TRE, no existe ningún problema con la identidad de los objetos a través del tiempo; por lo tanto, difícilmente podamos hallar una solución allí. Plausiblemente esto se deba a que lo que usualmente llamamos objeto no es exactamente lo que a la luz de la física contemporánea es un objeto, o que lo que comúnmente llamamos tiempo no tiene la naturaleza que solemos atribuirle. Por lo tanto, si existe algún tipo de problema filosófico sustancial en torno a la identidad diacrónica, en la física solamente encontrará su disolución o su desmotivación. Probablemente, si el problema se cree que aún persiste, haya que buscar su solución en alguna otra parte.

Trabajos citados

Aristóteles. Metafísica. Trad. Hernán Zucchi. Buenos Aires: Editorial Sudamericana, 2004.

Balashov, Y. “Relativistic Objects”. Noûs 33.4 (1999): 644-662.

Balashov, Y. “Enduring and Perduring Objects in Minkowski Space-Time”. Philosophical Studies 99.2 (2000): 129–66.

Balashov, Y. “Persistence”. The Oxford Handbook of Time. Ed. Craig Callender. Oxford: University Press, 2011.

Brillet, A. y Hall, J. “Improved Laser Test of the Isotropy of Space”. Physics Review Letter 42.9 (1979): 549–552

Broad, C.D. Scientific Thought. London: Kegan Paul, 1927. Brogaard, B. “Presentist Four-Dimensionalism”. Monist 83.3 (2000): 341–356.

Carter, W.R. y Hestevold, H.S. “On Passage and Persistence”. American Philosophical Quarterly 31.4 (1994): 269–283.

Castagnino, M. y Lombardi, O. “The Global Non-Entropic Arrow of Time: from Global Geometrical Asymmetry to Local Energy flow”. Synthese 169.1 (2009): 1-25.

Chisholm, R. Person and Object: A Metaphysical Study. London: Routledge, 1976.

Da Costa, Newton. y Olimpia Lombardi. “Quantum Mechanics: Ontology without Individuals”. Foundation of Physics 44.12 (2014): 1246-1257.

Dasgupta, S. “Symmetry as an epistemic notion (twice over)”. British Journal for Philosophy of Science 67.3 (2016): 837-878.

Earman, J. World Enough and Space-Time. Cambridge, ma: mit Press, 1989.

Einstein A. El significado de la relatividad. Barcelona: Planeta Agostini, 1985.

Frisch, D. y Smith, J. “Measurement of the Relativistic Time Dilation Using Mesons”. American Journal of Physics 31.5 (1963): 342-355.

Gallois, A. “Identity Over Time”. The Stanford Encyclopedia of Philosophy, 2011. Ed. Edward N. Zalta. .

Greene, B. El tejido del cosmos: Espacio, tiempo y la textura de la realidad. Ser. Drakontos Bolsillo. Barcelona: Crítica, 2006.

Gwinner, G. “Experimental Tests of Time Dilation in Special Relativity”. Modern Physics Letters A 20.11 (2005): 791-806.

Hales, S. y Johnson, T. “Endurantism, Perdurantism and Special Relativity”. The Philosophical Quarterly 53.213 (2003): 524-539.

Hawley, K. “Temporal Parts”. The Stanford Encyclopedia of Philosophy, 2015. Ed. E. Zalta

Hestevold, H.S., y Carter, W.R. “On Presentism, Endurance and Change”. Canadian Journal of Philosophy, 32.4 (2002): 491–510.

Hinchliff, M. “The Puzzle of Change”. Philosophical Perspectives 10.1 (1996): 119–136.

Holton, G. “Resource Letter SRT-1 on Special Relativity Theory”. American Journal of Physics 30.6 (1962): 462-469.

Kiefer C. “CPT Theorem”. Compendium of Quantum Physics. Eds. Greenberger D., Hentschel K. y Weinert F. Berlin: Springer, 2009.

Kripke, S. Naming and necessity, Oxford: Blackwell, 1980.

Lewis. D. On the Plurality of Worlds. Oxford: Blackwell, 1986.

Lombard, L.B. “On the Alleged Incompatibility of Presentism and Temporal Parts”. Philosophia: Philosophical Quarterly of Israel 27.2 (1999): 253–260.

Markosian, N. “Time”. The Stanford Encyclopedia of Philosophy, 2014. Ed. Edward N. Zalta. .

Maudlin, T. Philosophy of physics: Space and Time. New Jersey: Princeton University Press, 2012.

McTaggart, J.M.E. “The Unreality of Time”. Mind 17.68 (1908): 457–474.

Mellor, D.H. Real Time. Cambridge: Cambridge University Press, 1981.

Merricks, T. “On the Incompatibility of Enduring and Perduring Entities”. Mind 104 (1995): 523–531.

Miller, K. “The Metaphysical Equivalence of Three and Four Dimensionalism”. Erkenntnis 62.1 (2005): 91-117.

Minkowski, H. “Space and Time”. The Principle of Relativity, 1908. New York City: Dover Publications, 1952. 73-91.

Nerlich, Graham. “What can Geometry Explain?”. British Journal for the Philosophy of Science 30.1 (1979): 69–83.

Newman y et ál. “Precision experimental verification of special relativity”. Physics Review Letter 40.21 (1978): 1355-1358.

Nozick, R. Invariances: The Structure of the Objective World. Cambridge, MA: Harvard University Press, 2001.

Olson, E. “Personal Identity”. The Stanford Encyclopedia of Philosophy, 2010. Ed. Edward N. Zalta. .

Parsons, J. “Must a Four Dimensionalist Believe in Temporal Parts?”. Monist 83.3 (2000): 399-418.

Pashby, T. “Do Quantum Objects Have Temporal Parts?”. Philosophy of Science 80.5 (2013): 1137–1147.

Penrose, R. The Emperor’s New Mind. Oxford: Oxford University Press, 1989.

Price, H. Time’s Arrow and Arquimides’ Point. New York: Oxford University Press, 1996.

Putnam, H. “Time and Physical Geometry”. Journal of Philosophy 64.8 (1967): 240–247.

Putnam, H. “The Meaning of Meaning”. Mind, Language and reality. Cambridge: Cambridge University Press, 1975.

Quine, W.V. “Things and their Place in Theories”. Theories and Things. Harvard: Harvard University Press, 1991.

Rea, M. “Temporal Parts Unmotivated”. Philosophical Review 107.2 (1998): 225-260.

Rietdijk, C.W. “A Rigorous Proof of Determinism Derived from the Special Theory of Relativity”. Philosophy of Science 33.4 (1966): 341-344.

Robertson, T. y Atkins, P. “Essential vs. Accidental Properties”. The Stanford Encyclopedia of Philosophy, 2016. Ed. Edward N. Zalta. .

Rudder Baker, L. “Identity Across Time: a Defense of Three-dimensionalism”. Unity and Time in Metaphysics 57 (2009): 1-14. Eds. Ludger Honnefelder, Benedikt Schick & Edmund

Runggaldier Walter de Gruyter Inc. Sherwin, L. “Some Recent Experimental Tests of the 'Clock Paradox'”. Physics Review 129.1 (1960): 17-21.

Sider, T. Four-dimensionalism. Oxford: Oxford University Press, 2001.

Sklar, L. Space, Time and Spacetime. Berkeley: University of California Press, 1974.

Smart, J.J.C. (1972). “Space-time and individuals”. Logic and Art: Essays in Honor of Nelson Godman. Eds. Rudner, Richard y Scheffler, Israel. Indianapolis: Bobbs-Merrill, 1972. 2-30.

Weyl, H. Symmetry. Princeton, NJ: Princeton University Press, 1952.

Zhang, Y. Special Relativity and its Experimental Foundations. Singapur: World Scientific, 1997.

Notas

1. Véase: Aristóteles 2004. Trad. Hernan Zucchi.
2. Para un análisis pormenorizado de estas nociones, ver Robertson & Atkins 2016
3. Para un análisis acerca de la noción de “parte temporal”, ver Hawley 2015, sección 3.
4. Para más argumentos a favor de esta relación, véase: Nerlich 1979; Balashov 1999, 2000; Hales & Johnson 2003. D. H. Mellor ha sido quien, icónicamente, ha argumentado en contra de esta relación en términos de implicación, véase: Mellor 1981.
5. Para un análisis y discusión de los conceptos de espacio, tiempo y espacio-tiempo en física, véase: Earman 1989 y Sklar 1974.
6. Thomas Pashby (2013) ha argumentado que los objetos cuánticos carecen de partes temporales, lo cual equivaldría a evidencia empírica disponible para inclinarnos por una ontología tridimensionalista. El punto de vista de Pashby es sumamente interesante. Sin embargo, la misma noción de “objeto cuántico” puede ser puesta en entredicho, y con ella, la noción de “ser parte de un objeto”. Si los sistemas cuánticos son o no objetos en algún sentido tradicional o, al menos, equivalente a cómo la noción se utiliza comúnmente en otras teorías, es un tema abierto. Incluso se debate si los sistemas cuánticos pueden ser considerados individuos (véase: Da Costa & Lombardi 2014)
7. Agradezco a un referí anónimo por sugerir este argumento.

Notas de autor

* Universidad de Buenos Aires / Université de Lausanne / conicet Ciudad Autónoma de Buenos Aires, Argentina
HTML generado a partir de XML-JATS4R por